Você está aqui: Página Inicial > Adm. Indireta > PROCON > Notícias > 17 perfumes importados apresentam diferença de preço em R$ 100,09 até R$ 242,99

Notícias

17 perfumes importados apresentam diferença de preço em R$ 100,09 até R$ 242,99

Pesquisas Procon

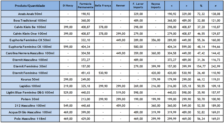
Pesquisa comparou 63 produtos em seis estabelecimentos da capital paraibana.

O Setor de Pesquisa e Estatística da Autarquia do Programa de Proteção e Defesa do Consumidor do Estado da Paraíba (Procon-PB) pesquisou preços de 63 perfumes importados em seis estabelecimentos comerciais de João Pessoa, no dia 20 de dezembro.

O perfume Eternit Feminino 30ml apresentou a maior diferença entre os 63 itens, em R$ 242,99. De R$ 157 na Farmácia Permanente até R$ 399 na Rayssa Imports, com uma variação em torno de 154,71%. Outro perfume, o Euphoria Feminino – CK 100ml teve diferença de R$ 194,66. De R$ 404,34 na Farmácia Permanente a R$ 599 na Di Rossi, numa variação por volta de 48,14%. Veja as 17 maiores diferenças de preço encontradas na tabela:

Os estabelecimentos consultados foram: Di Rossy no Shopping Sul, Rayssa Imports no bairro Manaíra e as demais, Farmácia Permanente, Bella França, Renner e F. Lavor Imports no Manaíra Shopping.

Os preços constatados e as variações obtidas referem-se somente aos dias de realização da pesquisa, portanto os valores dos produtos estão sujeitos a mudanças por conta de descontos, ofertas, promoções, ou mesmo da disponibilidade dos mesmos.

Para mais detalhes da pesquisa, favor acessar os endereços abaixo:


Relatório da pesquisa
Planilha da pesquisa
registrado em: ,
Voltar para o topo